695 / 700 / 705 / 710 / 720 Watts
Ground breaking technology: higher power output, improved system performance - the ideal solution for end users who want a fast turnaround on their investments. A fully certified premium quality and high effeciency module made with A Grade materials.
Guaranted mechanical resistance to severe weather conditions
Positive Tolereance
100% electro-luminescence tested

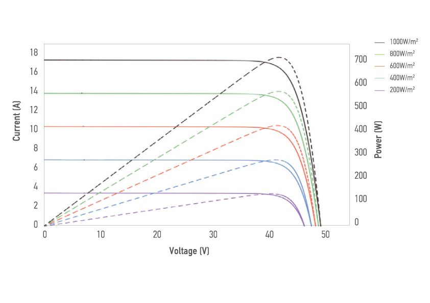
| POWER CLASS (1) | 695 | 700 | 705 | 710 | 720 | |
|---|---|---|---|---|---|---|
| Testing Condition | STC(2)NMOP(3) | STCNMOP | STCNMOP | STCNMOP | STCNMOP | |
| Maximum Power | Pmax[Wp] | 695327 | 700360 | 705364 | 710368 | 720372 |
| Maximum Power Voltage | Vmp[V] | 37,2034,60 | 37,7037,80 | 37,6035,00 | 37,8035,20 | 38,0035,40 |
| Maximum Power Current | Imp[A] | 13,0410,32 | 13,1010,35 | 13,1610,40 | 13,2210,45 | 13,2810,51 |
| Open Circuit Voltage | Voc[V] | 44,7041,70 | 44,9041,90 | 45,1042,10 | 45,3042,30 | 45,5042,50 |
| Short Circuit Current | Isc[A] | 13,6811,02 | 13,7311,07 | 13,7811,12 | 13,8311,17 | 13,8911,22 |
| Module Efficiency | Eff[%] | 20,42 | 20,64 | 21,85 | 21,06 | 21,27 |
| Maximum Series Fuse | Ir[A] | 25 | ||||
| Maximum System Voltage | Vsys[V] | 1000/1500 V | ||||
(1) Measurement Tolerances: Prax (±3%), Isc & Voc (±3%) - Power Classification O/+SW
(2) STC (Standard Testing Condition): Irrandiance 1000W/m®, Cell Temperature 25°C, AM 1.5
(3) NMOT (Nominal Ope rating Module Temperature): Irrandiance 800W/m², NMOT, Ambient Temperature 20°C, AM 1.5, Wind speed 1m/s

OPENAX assumes no liability or responsibility for any typographical error, layout error,misinformation, any other error,omission, contained herein.

